DSPE-PEG2k-Glucose 磷脂-聚乙二醇-葡萄糖 DSPE-PEG-Glucose
发布时间:2023-06-13  作者:LYQ  分享到:
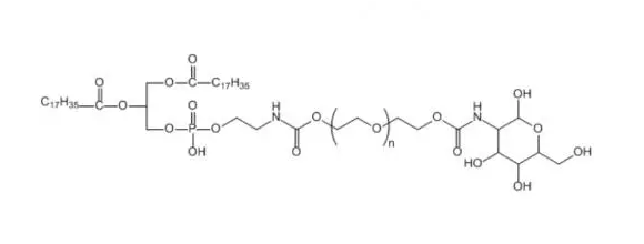
产品名称:
DSPE-PEG2k-Glucose
磷脂-聚乙二醇-葡萄糖
英文名称:
DSPE-PEG-Glucose
DSPE-PEG2000-Glucose
中文名称:
磷脂PEG葡萄糖
磷脂聚乙二醇葡萄糖
结构式:

对脂质体表面行聚乙二醇修饰后,得到长循环脂质体可以延长脂质体的半衰期和提高它在血液循环中的稳定性、改变脂质体的生物学分布,并具有靶向性。
相关产品:
DSPE-PEG3400-DOTA
磷脂聚乙二醇大环配体
DSPE-PEG5000-DOTA
大环配体聚乙二醇磷脂
DOTA-PEG3.4K-DSPE
磷脂PEG大环配体
DOTA-PEG2K-DSPE
包装:瓶装
生产地:西安
供应商:西安齐岳生物科技有限公司
温馨提示:本公司所提供的产品仅用于科研实验,不可用于人体!




齐岳微信公众号
官方微信
库存查询