DSPE-PEG-DBCO,MW:1000 磷脂-聚乙二醇-点击化学
发布时间:2023-06-13  作者:zyl  分享到:
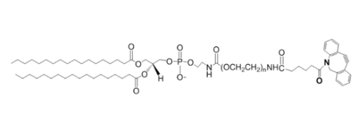
中文:磷脂-聚乙二醇-二苯并环辛炔(MW:5000)
英文:DSPE-PEG-DBCO,DBCO-PEG-DSPE
1、分子量:5k,其他分子量可以定制(10k、2k、1k等)
2、质量控制:95%+
3、储藏条件:-20℃长期保存,惰性气体保护避光、干燥
4、物理性质:固体或液体取决于分子量。溶于常规溶液及大多数有机溶剂,较少溶于醇、甲苯,不溶物乙醚。

DSPE-PEG-DBCO是一种磷脂PEG衍生物,用于脂质体制备,磷脂化聚乙二醇结合具有亲水性和疏水性,聚乙二醇磷脂脂质体形成优质材料,能够用于药物输送、基因转染和疫苗传递。聚乙二醇化磷脂可以明显的改善血循环时间和稳定封装药物。
相关产品:
pc-PEG-R8
磷脂聚乙二醇甘露糖
CAS:4004-05-1
磷脂聚乙二醇甘露糖
CAS号132172-61-3
PH敏感性脂质体/磷脂
磷脂-聚乙二醇-点击化学
CAS 1138446-81-7
二硬脂酰基磷脂酰乙醇胺-聚乙二醇-羧基
四臂-聚乙二醇-羟基
二硬脂酰基磷脂酰乙醇胺-聚乙二醇2000
PLGA-PEG-PLGA
环氧乙烷-苯乙烯




齐岳微信公众号
官方微信
库存查询