4 Arm-PEG-OH 四臂-聚乙二醇-羟基 四臂PEG羟基
发布时间:2023-06-13  作者:zyl  分享到:
英文名称:4-Arm PEG-OH
中文名称:四臂-聚乙二醇-羟基
分子量:1k,2k,3.4k,5k,10k,20k(可按需定制)
质量控制:95%+
存储条件:-20°C,避光,避湿
用 途:仅供科研实验使用,不用于诊治
外 观:粘稠液体或者固体粉末,取决于分子量
注意事项:取用一定要干燥,避免频繁的溶解和冻干
溶解性:溶于大部分有机溶剂,如:DCM、DMF、DMSO、THF等等。在水中有很好的溶解性
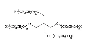
结构式:

西安齐岳生物科技有限公司经营的产品种类包括有:原料药、抑制剂、天然产物、COF、MOF单体系列:三蝶烯衍生物、金刚烷衍生物、四苯甲烷衍生物、多胺系列、多醛系列、联吡啶衍生物、卟啉衍生物、苯乙炔衍生物等;抑制剂&染料;原料药及中间体;OLED光电材料单体系列:共轭苯衍生物、咔唑、噻吩、苯并呋喃和苝/萘酐衍生物等;聚酰亚胺系列:聚酰亚胺、二胺和二酐;有机硅系列:单体、有还原剂、保护剂和偶联剂等;可光聚合液晶小分子等。
相关产品:
Maleimide-PEG-NHS Ester
二硬脂酰基磷脂酰乙醇胺-聚乙二醇-氨基
磺酸基CY5-活性酯
HA-SH
4 arm-PEG5000-Epoxides
ALK-PEG-SH
聚乙二醇-多粘菌素E
磷脂-聚乙二醇-环肽cRGD
磷脂PEG甘露糖
聚乳酸羟基乙酸共聚物-聚乙二醇
聚乳酸羟基乙酸共聚物修饰叶酸
pc-聚乙二醇-靶向穿膜肽R8
磷脂PEG甘露糖
二油酰磷脂酰乙醇胺
磷脂PEG甘露糖
(2,3-二油氧基丙基)三甲基氯化铵




齐岳微信公众号
官方微信
库存查询