DSPE-PEG-Mannose 甘露糖修饰聚乙二醇PE磷脂 Mannose-PEG-DSPE
发布时间:2023-06-13     作者:LYQ   分享到:
对脂质体表面行聚乙二醇修饰后,得到长循环脂质体可以延长脂质体的半衰期和提高它在血液循环中的稳定性、改变脂质体的生物学分布,并具有靶向性。DSPE-PEG-MANNOSE 长循环脂质体为载体具有抑制调节免疫力等作用
中文名称:
甘露糖修饰聚乙二醇PE磷脂 磷脂-聚乙二醇-甘露糖
英文名称:DSPE-PEG-Mannose MW:2000 DSPE-PEG-Mannose
别名:Mannose-PEG-DSPE
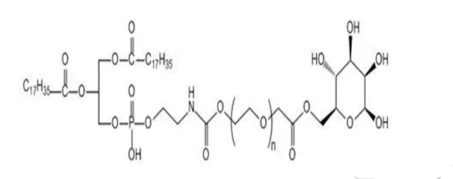
结构式:

包装: 瓶装
产地:西安
用途:仅用于科学研究,非医疗目的,非药用,非食用
温馨提示:仅用于科研,不能用于人体!
相关产品:
缬草酸-聚乙二醇-半乳糖
VA-mannose
缬草酸-聚乙二醇-甘露糖
VA-Glucose
缬草酸-聚乙二醇-葡萄糖
VA-Lactosyl
缬草酸-聚乙二醇-乳糖基
VA-Xanthan
缬草酸-聚乙二醇-黄原胶




齐岳微信公众号
官方微信
库存查询