DMG-PEG2000 磷脂聚乙二醇 DMG-PEG 二肉豆蔻酰-sn-甘油PEG
发布时间:2023-06-13  作者:LYQ  分享到:

产品名:
DMG-PEG2000
磷脂聚乙二醇
英文名:
DMG-PEG
DMG-PEG2K
中文名:
二肉豆蔻酰-sn-甘油PEG
PEG二肉豆蔻酰-sn-甘油
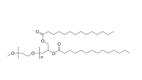
结构式:

包装:瓶装
生产地:西安
供应商:西安齐岳生物科技有限公司
相关产品:
PLGA10000-PEG 2000 PLGA:50:50
聚乳酸羟基乙酸共聚物功能化聚乙二醇
PLGA10K-PEG2K
PLGA-PEG
PLGA20000-PEG 2000 PLGA:50:50
聚乳酸羟基乙酸共聚物功能化聚乙二醇
PLGA20K-PEG2K
PLGA-PEG
温馨提示:本公司所提供的产品仅用于科研实验,不可用于人体!




齐岳微信公众号
官方微信
库存查询