NHS-SS-PEG2000-生物素 活性酯双硫键聚乙二醇生物素 NHS-SS-PEG-Biotin
发布时间:2023-06-13  作者:LYQ  分享到:
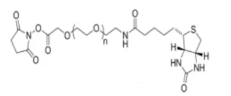
产品名:
NHS-SS-PEG2000-生物素
活性酯双硫键聚乙二醇生物素
英文名:
NHS-SS-PEG-Biotin
NHS-SS-PEG2K-Biotin
中文名:
活性酯二硫键聚乙二醇生物素
活性酯-双硫键-聚乙二醇-生物素
结构式:

包装:瓶装
生产地:西安
供应商:西安齐岳生物科技有限公司
温馨提示:本公司所提供的产品仅用于科研实验,不可用于人体!
产品描述:
叶酸-PEG生物素,又称叶酸-PEG-生物素,是一种具有纳米活性的叶酸-PEG衍生物。生物素以高亲和力与亲和素或链亲和素结合。
相关产品:
磷脂聚乙二醇
DSPE-PEG5000
DSPE-PEG
PEG5k-PLGA5k,50/50
聚乙二醇聚乳酸乙醇酸 共聚物
PEG-PLGA
PEG5000-PLGA5000
PEG5k-PLLA5k




齐岳微信公众号
官方微信
库存查询