DBCO-PEG-DSPE 磷脂PEG二苯并环辛炔 DSPE-PEG2K-DBCO
发布时间:2023-06-14     作者:LYQ   分享到:
产品名:
二苯并环辛炔聚乙二醇二硬脂酰基磷脂酰乙醇胺 DSPE-PEG2K-DBCO
英文名:
DBCO-PEG-DSPE
中文名:
二苯并环辛炔聚乙二醇磷脂 磷脂PEG二苯并环辛炔
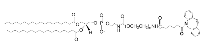
结构式:

DSPE-PEG-DBCO是一种能和叠氮基发生化学反应的高活性磷脂PEG衍生物。DBCO(二苯并环辛炔)是一种常用的无铜点击化学试剂,对含叠氮化物(-N3)的分子具有快速而特异的反应性。
包装:瓶装
生产地:西安
供应商:西安齐岳生物科技有限公司
温馨提示:本公司所提供的产品仅用于科研实验,不可用于人体!
相关产品:
聚乳酸-羟基乙酸共聚物PEG马来酰亚胺
PLGA-PEG-MAL
马来酰亚胺聚乙二醇聚乳酸-羟基乙酸共聚物
PLGA-PEG-Maleimide
马来酰亚胺PEG聚乳酸-羟基乙酸共聚物
DSPE-PEG5000-MAL
磷脂-聚乙二醇-马来酰亚胺




齐岳微信公众号
官方微信
库存查询