CAS: 1445723-73-8 NHS-PEG-DSPE 磷脂PEG琥珀酰亚胺酯 NHS-PEG5000-DSPE
发布时间:2023-06-15  作者:LYQ  分享到:
简介:
DSPE-PEG-NHS是一种线性异双功能聚乙二醇化试剂,含有DSPE磷脂和活化的羧酸NHS酯。它是一种有用的自组装试剂,用于制备聚乙二醇化脂质体或胶束,同时还提供NHS基团用于与含胺分子共轭。
产品名:
琥珀酰亚胺酯聚乙二醇磷脂 NHS-PEG-DSPE
英文名:
NHS-PEG5000-DSPE
中文名:
磷脂PEG琥珀酰亚胺酯 琥珀酰亚胺酯PEG磷脂
CAS: 1445723-73-8
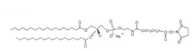
结构式:

包装:瓶装
生产地:西安
相关产品:
DSPE-PEG-MAL 2k
磷脂聚乙二醇马来酰亚胺
DSPE-PEG2000-MAL
磷脂PEG马来酰亚胺
DSPE-PEG-MAL
磷脂-聚乙二醇-马来酰亚胺
MAL-PEG-DSPE
供应商:西安齐岳生物科技有限公司
温馨提示:本公司所提供的产品仅用于科研实验,不可用于人体!




齐岳微信公众号
官方微信
库存查询