MAL-PEG5000-DSPE 磷脂PEG马来酰亚胺 MAL-PEG5K-DSPE
发布时间:2023-06-15  作者:LYQ  分享到:
产品名:
马来酰亚胺聚乙二醇磷脂;马来酰亚胺PEG磷脂
英文名:
MAL-PEG5000-DSPE;MAL-PEG5K-DSPE
中文名:
磷脂PEG马来酰亚胺
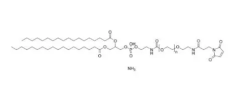
结构式:

包装:瓶装
纯度:95%+
存储条件:-20°C,避光,避湿
外观:固体或液体,取决于分子量
生产地:西安
应用介绍:
DSPE-PEG-MAL是一种磷脂PEG衍生物,用于脂质体制备,磷脂化聚乙二醇结合具有亲水性和疏水性,聚乙二醇磷脂脂质体形成优质材料,能够用于药物输送、基因转染和疫苗传递。
相关产品:
NHS-PEG2000-DSPE
活性酯PEG磷脂
DSPE-PEG1k-TCO
磷脂聚乙二醇反式环辛烯
DSPE-PEG1000-TCO
磷脂-聚乙二醇-反式环辛烯
DSPE-PEG-TCO
供应商:西安齐岳生物科技有限公司
温馨提示:本公司所提供的产品仅用于科研实验,不可用于人体!




齐岳微信公众号
官方微信
库存查询