NHS-PEG-DSPE 磷脂PEG活性酯 DSPE-PEG-NHS
发布时间:2023-06-15  作者:LYQ  分享到:
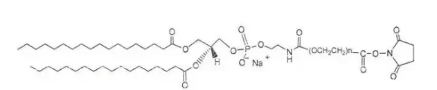
结构式:

产品名:
活性酯聚乙二醇磷脂 活性酯PEG磷脂
英文名:
NHS-PEG-DSPE DSPE-PEG-NHS
中文名:
磷脂PEG活性酯
包装:瓶装
生产地:西安
说明:
DSPE-PEG-NHS是一种线性异双功能聚乙二醇化试剂,含有DSPE磷脂和活化的羧酸NHS酯。
供应商:西安齐岳生物科技有限公司
温馨提示:本公司所提供的产品仅用于科研实验,不可用于人体!
相关产品:
氨基PEG荧光染料CY5
NH2-PEG2K-CY5
氨基PEG花青素CY5
CY5-PEG-NH2
荧光染料CY5聚乙二醇氨基
NH2-PEG-CHO MW:2000
氨基聚乙二醇醛基
NH2-PEG-CHO




齐岳微信公众号
官方微信
库存查询