Mannose-PEG-DSPE 甘露糖聚乙二醇磷脂 Mannose-PEG2000-DSPE
发布时间:2023-06-16     作者:LYQ   分享到:
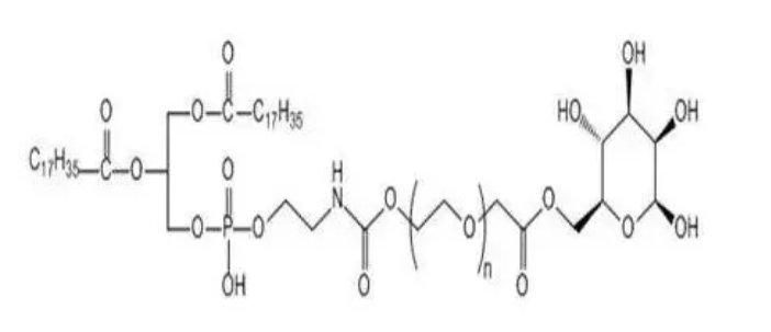
产品名:
磷脂-聚乙二醇-甘露糖 甘露糖PEG磷脂
英文名:
Mannose-PEG-DSPE Mannose-PEG2000-DSPE
中文名:
甘露糖聚乙二醇磷脂
结构式:

包装:瓶装
生产地:西安
供应商:西安齐岳生物科技有限公司
相关产品:
氯化物-聚乙二醇-溴化物
Chloride-Vinylsulfone
Chloride-PEG-VS
氯化物-聚乙二醇-乙烯砜
Chloride-Methacrylate
Chloride-PEG-MA
氯化物-聚乙二醇-甲基丙烯酸酯
温馨提示:本公司所提供的产品仅用于科研实验,不可用于人体!
Mannose-PEG2000-DSPE主要应用于纳米粒子的制备和细胞靶向性输送。其中,Mannose作为生物活性分子被引入到PEG2000的端基上,可以使纳米粒子表面具有类似糖蛋白的分子结构,从而实现对Mannose受体的针对性识别和结合。




齐岳微信公众号
官方微信
库存查询