COOH-PEG-DSPE 羧基聚乙二醇磷脂 COOH-PEG2000-DSPE
发布时间:2023-06-16     作者:LYQ   分享到:
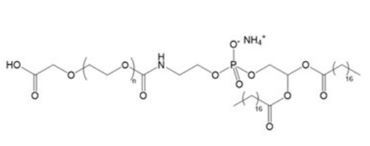
产品名:
磷脂-聚乙二醇-羧基 羧基PEG磷脂
英文名:
COOH-PEG-DSPE COOH-PEG2000-DSPE
中文名:
羧基聚乙二醇磷脂
结构式:

包装:瓶装
生产地:西安
供应商:西安齐岳生物科技有限公司
相关产品:
Chloride-TZ
Chloride-PEG-Tetrazine
氯化物-聚乙二醇-四嗪
Chloride-Folate/FA
Chloride-PEG-folic acid
氯化物-聚乙二醇-叶酸
Chloride-Multi-Arms (4 arm 8arm)
氯化物-聚乙二醇-多臂PEG
温馨提示:本公司所提供的产品仅用于科研实验,不可用于人体!
羧基聚乙二醇磷脂主要应用于纳米粒子制备和药物的靶向输送。其中,羧基可以通过化学反应被引入到聚乙二醇链的端基上,使其具有羧基的活性,从而实现与其他生物大分子的结合。




齐岳微信公众号
官方微信
库存查询