CAS:474922-82-2 DMPE-mPEG2000 线性PEG磷脂
发布时间:2023-06-20     作者:LYQ   分享到:
产品简介:
mPEG-DMPE是一种可以用于制备Pegylated纳米载体的表面修饰分子,其具有生物相容性和生物可降解性。
产品名:
甲氧基-聚乙二醇-双肉豆蔻磷脂酰乙醇胺 mPEG-DMPE
CAS:474922-82-2
英文名:
DMPE-mPEG2000
中文名:
线性PEG磷脂
稳定性:常温常压下稳定
PDI:1.05max
含量:95%+
生产地:西安
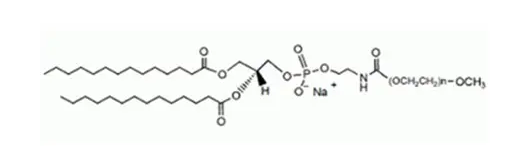
结构式:

供应商:西安齐岳生物科技有限公司
温馨提示:本公司所提供的产品仅用于科研实验,不可用于人体!
相关产品:
叶酸-聚乙二醇-二苯基环辛炔
FA-TCO
FA-TZ
FA-PEG-Tetrazine
叶酸-聚乙二醇-四嗪
FA-Folate/FA
FA-PEG-folic acid
叶酸-聚乙二醇-叶酸
FA-Multi-Arms (4 arm 8arm)




齐岳微信公众号
官方微信
库存查询