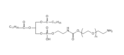
DSPE-PEG-NH2,二硬脂酰基磷脂酰乙醇胺-聚乙二醇-氨基,DSPE-PEG2k-Amine
发布时间:2023-06-20     作者:axc   分享到:
DSPE-PEG-NH2,二硬脂酰基磷脂酰乙醇胺-聚乙二醇-氨基,DSPE-PEG2k-Amine
中文名称:二硬脂酰基磷脂酰乙醇胺-聚乙二醇-氨基
英文名称:DSPE-PEG-NH2
纯度:95%+
存储条件:-20°C,避光,避湿
外观:固体或粘性液体,
性状:基于不同的分子量,呈白色/类白色固体,或粘稠液体。
溶剂:二氯甲烷,DMSO,水等常规有机溶剂。
稳定性:冷藏保存,避免反复冻融。
分子量(PEG ):2000、3400、5000,其他分子量可以定制。
DSPE-PEG-NH2是一种磷脂-聚乙二醇复合物,它由磷脂二十二烷基酸酰乙醇胺(DSPE)、聚乙二醇(PEG)和氨基(NH2)基团组成。氨基基团是一种化学官能团,可以作为其他化合物的反应位点。可以在DSPE-PEG-NH2表面引入其他带有羧基、磺酸基、烯基、芳基等化学官能团的分子,以实现功能化修饰。

相关产品:
FA-PEG-FITC 叶酸-聚乙二醇-异硫氰基荧光素
FA-PEG-PDLLA0 叶酸-聚乙二醇-聚丙交酯(聚乳酸)0
FA-PEG-NHS 叶酸-聚乙二醇-N-羟基琥珀酰亚胺
FA-PEG-COOH 叶酸-聚乙二醇-羧酸
FA-PEG-NH2 叶酸-聚乙二醇-氨基
Fe3O4-PEG-DBCO 四氧化三铁-聚乙二醇-二苯基环辛炔
Fe3O4-PEG-MAL 四氧化三铁-聚乙二醇-马来酰亚胺
用途:科研
状态:固体/粉末/溶液
产地:西安
保存:冷藏
温馨提醒:仅供科研,不能用于人体实验AXC.2023.06.20




齐岳微信公众号
官方微信
库存查询