DSPE-PEG5K 磷脂聚乙二醇 DSPE-PEG5000
发布时间:2023-06-20     作者:LYQ   分享到:
产品简介:
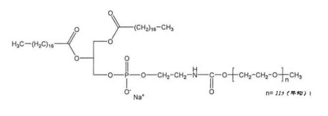
DSPE-PEG5000是由磷脂酰胆碱(DSPE)和聚乙二醇(PEG)共同组成的表面修饰分子。PEG的分子量约为5,000 Da,因此称为DSPE-PEG5000。PEG能够提高药物载体的稳定性、水溶性和生物相容性,同时还可以延长其在体内的循环时间。
产品名:
DSPE-PEG
英文名:
DSPE-PEG5K 醇 DSPE-PEG5000
中文名:
磷脂聚乙二
稳定性:常温常压下稳定
PDI:1.05max
含量:95%+
生产地:西安
结构式:

供应商:西安齐岳生物科技有限公司
温馨提示:本公司所提供的产品仅用于科研实验,不可用于人体!
相关产品:
FA-PEG-CY3
叶酸-聚乙二醇-菁染料CY3
FA-Cyanine5
FA-PEG-CY5
叶酸-聚乙二醇-菁染料CY5
FA-Cyanine5.5
FA-PEG-CY5.5




齐岳微信公众号
官方微信
库存查询