DSPE-PEG-mannose,二硬脂酰基磷脂酰乙醇胺-聚乙二醇-甘露糖,DSPE-PEG2K-甘露糖
发布时间:2023-06-20     作者:axc   分享到:
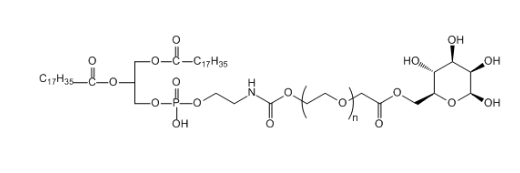
DSPE-PEG-mannose,二硬脂酰基磷脂酰乙醇胺-聚乙二醇-甘露糖,DSPE-PEG2K-甘露糖
DSPE-PEG-mannose是一种磷脂-聚乙二醇复合物,由磷脂二十二烷基酸酰乙醇胺(DSPE)、聚乙二醇(PEG)和甘露糖修饰基组成。甘露糖是一种**的共生介质,它可以结合于特定的受体上,使纳米粒子具有特异性,
英文名称:DSPE-PEG-mannose
中文名称:二硬脂酰基磷脂酰乙醇胺-聚乙二醇-甘露糖
纯度:95%+
存储条件:-20°C,避光,避湿
外观:固体或粘性液体,
性状:基于不同的分子量,呈白色/类白色固体,或粘稠液体。
溶剂:二氯甲烷,DMSO,水等常规有机溶剂。
稳定性:冷藏保存,避免反复冻融。
分子量(PEG ):2000、3400、5000,其他分子量可以定制。

相关产品:
NH2-PEG-RVG29 氨基-聚乙二醇-RVG29
NH2-PEG-NH2 氨基-聚乙二醇-氨基
NH2-PEG3-NH2 氨基-聚乙二醇-氨基
NH2-PEG-SA(Sialic acid) 氨基-聚乙二醇-SA(唾液酸)
NH2-PEG-OH 氨基-聚乙二醇-羟基
NH2-PEG-MAL 氨基-聚乙二醇-马来酰亚胺
NH2-PEG-COOH 氨基-聚乙二醇-羧酸
NH2-PEG-NH2 氨基-聚乙二醇-氨基
用途:科研
状态:固体/粉末/溶液
产地:西安
保存:冷藏
温馨提醒:仅供科研,不能用于人体实验AXC.2023.06.20




齐岳微信公众号
官方微信
库存查询