DSPE-PEG-Glucose,二硬脂酰基磷脂酰乙醇胺-聚乙二醇-葡萄糖,DSPE-PEG2k-葡萄糖
发布时间:2023-06-20     作者:axc   分享到:
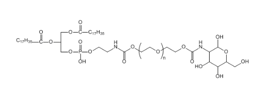
DSPE-PEG-Glucose,二硬脂酰基磷脂酰乙醇胺-聚乙二醇-葡萄糖,DSPE-PEG2k-葡萄糖
DSPE-PEG-Glucose是一种磷脂-聚乙二醇复合物,由磷脂二十二烷基酸酰乙醇胺(DSPE)、聚乙二醇(PEG)和D-葡萄糖修饰基组成。D-葡萄糖是一种天然的五碳单糖,在生物体内极为普遍,因此DSPE-PEG-Glucose是具有生物相容性的一种纳米材料。DSPE-PEG-Glucose可以通过自组装形成有一定稳定性胶束或纳米粒子,
中文名称:二硬脂酰基磷脂酰乙醇胺-聚乙二醇-葡萄糖
英文名称:DSPE-PEG-Glucose
纯度:95%+
存储条件:-20°C,避光,避湿
外观:固体或粘性液体,
性状:基于不同的分子量,呈白色/类白色固体,或粘稠液体。
溶剂:二氯甲烷,DMSO,水等常规有机溶剂。
稳定性:冷藏保存,避免反复冻融。
分子量(PEG ):2000、3400、5000,其他分子量可以定制。
为确保产品的稳定性,请注意在恒温干燥以后才能打开包装取用

相关产品:
NHS-PEG12-MAL 活性酯 -聚乙二醇-马来酰亚胺
NHS-PEG-CHO 活性酯-聚乙二醇-醛基
NHS-PEG-GA 活性酯-聚乙二醇-甘草次酸
NHS-PEG-MAL 活性酯-聚乙二醇-马来酰亚胺
NHS-PEG-Mannose 活性酯-聚乙二醇-甘露糖
NHS-PEG8-MAL 活性酯-聚乙二醇-马来酰亚胺
用途:科研
状态:固体/粉末/溶液
产地:西安
保存:冷藏
温馨提醒:仅供科研,不能用于人体实验AXC.2023.06.20




齐岳微信公众号
官方微信
库存查询