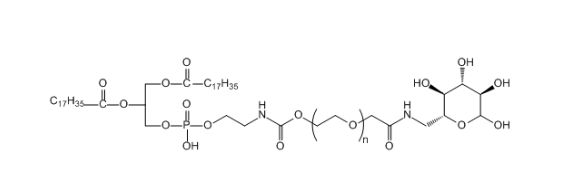
DSPE-PEG-Galactose,二硬脂酰基磷脂酰乙醇胺-聚乙二醇-半乳糖,DSPE-PEG5000-半乳糖
发布时间:2023-06-20     作者:axc   分享到:
DSPE-PEG-Galactose,二硬脂酰基磷脂酰乙醇胺-聚乙二醇-半乳糖,DSPE-PEG5000-半乳糖
DSPE-PEG-Galactose是一种将磷脂(DSPE)和聚乙二醇(PEG)与半乳糖(Galactose)取代基化合物结合在一起的材料。
中文名称:二硬脂酰基磷脂酰乙醇胺-聚乙二醇-半乳糖
英文名称:DSPE-PEG-Galactose
纯度:95%+
存储条件:-20°C,避光,避湿
外观:固体或粘性液体,
性状:基于不同的分子量,呈白色/类白色固体,或粘稠液体。
溶剂:二氯甲烷,DMSO,水等常规有机溶剂。
稳定性:冷藏保存,避免反复冻融。
分子量(PEG ):2000、3400、5000,其他分子量可以定制。
为确保产品的稳定性,请注意在恒温干燥以后才能打开包装取用

相关产品:
PCL-PEG-COOH 聚乙烯亚胺-聚乙二醇-羧酸
PCL-PEG-OMe 聚乙烯亚胺-聚乙二醇-OMe
PDLLA-PEG-PDLLA 聚-DL-乳酸-聚乙二醇-聚丙交酯(聚乳酸)
PEI-PEG-FA 聚乙烯亚胺-聚乙二醇-叶酸
PLA-PEG-Mal 聚乳酸-聚乙二醇-马来酰亚胺
PLA-PEG-NH2 聚乳酸-聚乙二醇-氨基
PLA-PEG-NHS 聚乳酸-聚乙二醇-N-羟基琥珀酰亚胺
PLA-PEG-PEI 聚乳酸-聚乙二醇-聚乙烯亚胺
PLA-PEG-COOH 聚乳酸-聚乙二醇-羧酸
用途:科研
状态:固体/粉末/溶液
产地:西安
保存:冷藏
温馨提醒:仅供科研,不能用于人体实验AXC.2023.06.20




齐岳微信公众号
官方微信
库存查询