DSPE-PEG-Alkyne,磷脂-聚乙二醇-炔基,DSPE-PEG2000-Alkyne
发布时间:2023-06-20     作者:axc   分享到:
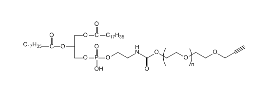
DSPE-PEG-Alkyne,磷脂-聚乙二醇-炔基,DSPE-PEG2000-Alkyne
DSPE-PEG-Alkyne是一种将磷脂(DSPE)和聚乙二醇(PEG)与炔基(Alkyne)取代基化合物结合在一起的化合物。这种化合物常用于制备纳米颗粒的表面修饰,以便将其他化合物或分子与其表面连接。炔基可以与合适的偶联剂(如偶氮苯)反应,形成化学键,从而将其他生物分子与DSPE-PEG-Alkyne连接。
中文名称:磷脂-聚乙二醇-炔基
英文名称:DSPE-PEG-Alkyne
纯度:95%+
存储条件:-20°C,避光,避湿
外观:固体或粘性液体,
性状:基于不同的分子量,呈白色/类白色固体,或粘稠液体。
溶剂:二氯甲烷,DMSO,水等常规有机溶剂。
稳定性:冷藏保存,避免反复冻融。
分子量(PEG ):2000、3400、5000,其他分子量可以定制。
为确保产品的稳定性,请注意在恒温干燥以后才能打开包装取用

相关产品:
PLGA-PEG-MAL 聚乳酸-羟基乙酸共聚物-聚乙二醇-马来酰亚胺
PLGA-PEG-PLGA 聚乳酸-羟基乙酸共聚物-聚乙二醇-聚乳酸-羟基乙酸共聚物
PLGA0-PEG-DBCO 聚乳酸-羟基乙酸共聚物-聚乙二醇-二苯基环辛炔
PLGA-PEG-MAL 聚乳酸-羟基乙酸共聚物-聚乙二醇-马来酰亚胺
PLGA2-PEG-胆碱 聚乳酸-羟基乙酸共聚物-聚乙二醇-胆碱
用途:科研
状态:固体/粉末/溶液
产地:西安
保存:冷藏
温馨提醒:仅供科研,不能用于人体实验AXC.2023.06.20




齐岳微信公众号
官方微信
库存查询