DSPE-PEG-OH,磷脂-聚乙二醇-羟基,DSPE-PEG-hydroxyl MW:2000
发布时间:2023-06-20     作者:axc   分享到:
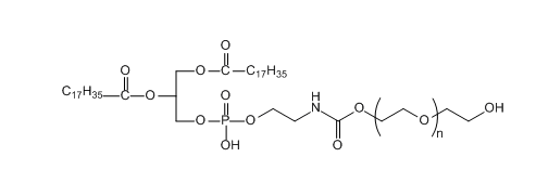
DSPE-PEG-OH,磷脂-聚乙二醇-羟基,DSPE-PEG-hydroxyl MW:2000
DSPE-PEG-OH是一种将磷脂(DSPE)和聚乙二醇(PEG)结合在一起的化合物,PEG链的末端具有羟基(OH),DSPE-PEG-OH常用于修饰纳米粒子的表面,以便使其具有更好的生物相容性和可溶性。OH末端的PEG链还可以用于将其他生物分子连接到纳米粒子表面。
中文名称:磷脂-聚乙二醇-羟基
英文名称:DSPE-PEG-OH
纯度:95%+
存储条件:-20°C,避光,避湿
外观:固体或粘性液体,
性状:基于不同的分子量,呈白色/类白色固体,或粘稠液体。
溶剂:二氯甲烷,DMSO,水等常规有机溶剂。
稳定性:冷藏保存,避免反复冻融。
分子量(PEG ):2000、3400、5000,其他分子量可以定制。
为确保产品的稳定性,请注意在恒温干燥以后才能打开包装取用

相关产品:
PLLA-PEG-NH2 左旋聚乳酸-聚乙二醇-氨基
PLLA-PEG-PLLA 左旋聚乳酸-聚乙二醇-左旋聚乳酸
PLL-PEG-SH 聚赖氨酸-聚乙二醇-巯基
PNIPAAm-PEG-PNIPAAm 聚N-异丙基丙烯酰胺-聚乙二醇-PNIPAAm
PNIPAAm-PEG-PNIPAAm 聚N-异丙基丙烯酰胺-聚乙二醇-PNIPAAm
用途:科研
状态:固体/粉末/溶液
产地:西安
保存:冷藏
温馨提醒:仅供科研,不能用于人体实验AXC.2023.06.20




齐岳微信公众号
官方微信
库存查询