DSPE-PEG2000-cRGD 磷脂-聚乙二醇-细胞穿膜肽 DSPE-PEG-cRGD
发布时间:2023-06-26     作者:LYQ   分享到:
产品简介:
DSPE-PEG2000-cRGD是一种生物可降解的聚合物,由二十二烷氧基乙基二酰基磷脂酰乙醇胺(DSPE)、聚乙二醇(PEG)和RGD肽(cRGD)组成,PEG链长为2000 Da。cRGD是一种肽,具有在许多**细胞表面高表达的一种受体RGDαvβ3的亲和力,能够与其结合。
英文名称:
DSPE-PEG2K-cRGD
中文名称:磷脂-聚乙二醇-细胞穿膜肽cRGD
别称:DSPE-PEG2000-cRGD 磷脂-聚乙二醇-细胞穿膜肽 DSPE-PEG-cRGD
保存时间 1年
质量:97%+
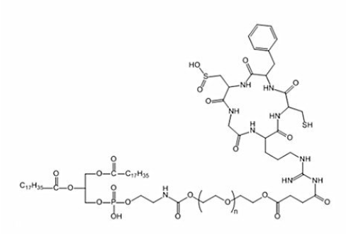
结构式:

储存方式:-5°C以下保存,干燥,避光
生产地:西安
供应商:西安齐岳生物科技有限公司
温馨提示:本公司提供的产品仅供科研使用!
相关产品:
LA-PEG2K-NHS
硫辛酸PEG3400活性酯
LA-PEG2000-NHS
活性酯聚乙二醇2000硫辛酸
NHS-PEG-LA
活性酯PEG硫辛酸
DSPE-PEG-FA, MW:2000
叶酸修饰聚乙二醇PE磷脂




齐岳微信公众号
官方微信
库存查询