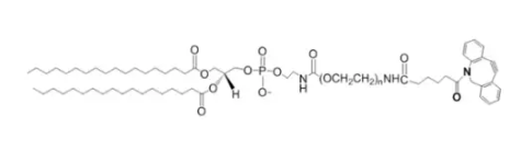
DSPE-PEG-DBCO MW:3400 二苯并环辛炔-聚乙二醇-磷脂
发布时间:2023-06-28     作者:zyl   分享到:
DSPE-PEG-DBCO是一种磷脂PEG衍生物,用于脂质体制备,磷脂化聚乙二醇结合具有亲水性和疏水性,聚乙二醇磷脂脂质体形成优质材料,能够用于药物输送、基因转染和疫苗传递。聚乙二醇化磷脂可以明显的改善血循环时间和稳定封装药物。

中文:磷脂-聚乙二醇-二苯并环辛炔(MW:5000)
英文:DSPE-PEG-DBCO,DBCO-PEG-DSPE
1、分子量:5k,其他分子量可以定制(10k、2k、1k等)
2、质量控制:95%+
3、储藏条件:-20℃长期保存,惰性气体保护避光、干燥
4、物理性质:固体或液体取决于分子量。溶于常规溶液及大多数有机溶剂,较少溶于醇、甲苯,不溶物乙醚。
相关产品:
氨基聚乙二醇磷脂
二棕榈酰磷脂酰胆碱
CY5-SE
荧光素标记胆固醇
磷脂-聚(2-乙基-2-噁唑啉)
磷脂-酮缩硫醇-聚乙二醇
mPEG-b-PLL
PLGA-PEOz-SH
PCL-PEOz-SH
异硫氰酸荧光素标记葡聚糖
磺酸基Cy7活性荧光染料
红色透明质酸
CY5-SE
CAS 816-94-4
二棕榈酰磷脂酰胆碱
荧光素标记牛血清白蛋白




齐岳微信公众号
官方微信
库存查询