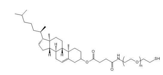
CLS-PEG-SH 胆固醇-聚乙二醇-巯基 Cholesterol-PEG-SH
中文名称:胆固醇-聚乙二醇-巯基
英文名称:CLS-PEG-SH
别称:Cholesterol-PEG-SH
外观:呈白色/类白色至浅黄色半固体或固体,外观取决于PEG分子量,溶于部分有机溶剂
PEG分子量:1000,2000,3400,5000,10000
描述:
胆固醇-聚乙二醇-巯基(CLS-PEG-SH)是一种含有胆固醇、聚乙二醇和巯基官能团的化学修饰试剂。CLS-PEG-SH可用于制备含有巯基官能团的生物材料,通过在巯基官能团上引入含有活性酯、醛、酸等官能团的分子,可实现分子的胆固醇化修饰作用。胆固醇修饰可以提高生物大分子在体内的稳定性以及靶向性。

CLS-PEG-SH还可用于在纳米结构表面引入巯基官能团,从而用于介导金属纳米粒子、荧光染料或其它有机分子的结合。在生物成像、分子检测等领域,常使用CLS-PEG-SH来制备胆固醇化修饰药物递送载体。这类递送载体可取代疫苗的传统方案,作为免疫佐剂和外源性抗原,在大面积应用中是很重要的。
CLS-PEG-SH的制备方法相对简便,并具有良好的生物相容性和稳定性,广泛应用于生物技术和药物研究领域。
用途:科研
纯度:≥95%
保存时间: 1年
产地:西安
供应商:西安齐岳生物科技有限公司
注意事项:仅用于科研不用于人体
相关产品:
胆固醇-氨基、CLS-Amino
胆固醇-甲氧基聚乙二醇、CLS-MPEG
胆固醇-聚乙二醇-氨基、CLS-PEG-NH2
胆固醇-聚乙二醇-活性脂、CLS-PEG-NHS
胆固醇-聚乙二醇-罗丹明、CLS-PEG-RB
胆固醇-聚乙二醇-马来酰亚胺、CLS-PEG-MAL
胆固醇-聚乙二醇-羟基、CLS-PEG-OH
胆固醇-聚乙二醇-巯基、CLS-PEG-SH
胆固醇-聚乙二醇-生物素、CLS-PEG-Biotin




齐岳微信公众号
官方微信
库存查询