Glucose-Amine 葡萄糖修饰氨基 GLU-NH2
发布时间:2023-06-28  作者:ssl  分享到:
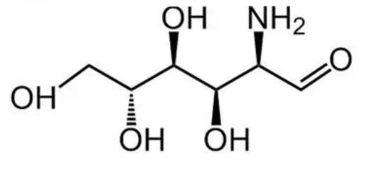
Glucose-Amine 葡萄糖修饰氨基 GLU-NH2
中文名称:葡萄糖-氨基
英文名称:Glucose-Amine
描述:
葡萄糖-氨基(Glucose-Amine)是由葡萄糖和氨基官能团组成的化合物。它可以通过葡萄糖和氨基化合物之间的缩合反应得到。

葡萄糖-氨基在生物医学和生物技术领域中有着重要的应用。作为分子识别元件,它可以用于识别和绑定一些特定受体或生物大分子,从而实现对其生物活性及活动状态的研究和控制。同时,由于葡萄糖在生物体内的广泛分布以及氨基官能团的反应活性,葡萄糖-氨基还被广泛用于生物大分子的修饰和标记,从而实现其定量、定位及追踪等功能。
除此之外,葡萄糖-氨基还应用于一些生物传感器的构建,如血糖检测传感器等。由于葡萄糖是人体内主要的能量来源,因此能够将其与氨基官能团结合在一起,通过检测葡萄糖浓度变化来实现血糖检测,并为糖尿病患者提供实时监测和管理提供了一种便捷的手段。
用途:科研
纯度:≥95%
保存时间: 1年
产地:西安
供应商:西安齐岳生物科技有限公司
注意事项:仅用于科研不用于人体
相关产品:
琥珀酰亚胺酯-聚(2-乙基-2-噁唑啉)-叶酸
马来酰亚胺-聚(2-乙基-2-噁唑啉)-羟基、MAL-PEOz-OH
葡萄糖-氨基,GLU-NH2
巯基-聚(2-乙基-2-噁唑啉)-氨基、HS-PEOz-NH2
巯基-聚(2-乙基-2-噁唑啉)-琥珀酰亚胺酯、HS-PEOz-NHS
巯基-聚(2-乙基-2-噁唑啉)-叶酸
炔基-聚(2-乙基-2-噁唑啉)-氨基、Alkyne-PEOz-NH2




齐岳微信公众号
官方微信
库存查询