DSPE-PEG2K-DBCO 二苯并环辛炔聚乙二醇磷脂 DBCO-PEG-DSPE
发布时间:2023-06-28  作者:LYQ  分享到:
中文名称:
二苯并环辛炔聚乙二醇二硬脂酰基磷脂酰乙醇胺 磷脂PEG二苯并环辛炔
英文名称:DSPE-PEG2K-DBCO DBCO-PEG-DSPE
别称:二苯并环辛炔聚乙二醇磷脂
端基取代率:≥95%
状态:固体或粘稠液体,取决于分子量大小
保存时间 1年
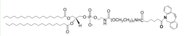
结构式:

产品描述:
DSPE-PEG2K-DBCO 的设计目的是在纳米药物递送系统中实现特定的化学反应,例如与Azido修饰的分子发生点击反应。通过连接DBCO基团,可以将DSPE-PEG2K与其他具有Azido修饰的分子或聚合物连接起来,形成稳定的共价结构。
生产地:西安
相关产品:
PLGA-mPEG MW: PLGA 45000 50:50、PEG 2000
聚乳酸-羟基乙酸共聚物-甲氧基-聚乙二醇
PLGA45000-mPEG2000
聚乳酸-羟基乙酸共聚物-甲氧基聚乙二醇
PLGA45K-mPEG2K
聚乙二醇聚乳酸-羟基乙酸共聚物
PLGA-mPEG
聚乙二醇-聚乳酸-羟基乙酸共聚物
供应商:西安齐岳生物科技有限公司
温馨提示:本公司提供的产品仅供科研使用!




齐岳微信公众号
官方微信
库存查询