DSPE-PEG2K-NHS 活性酯聚乙二醇磷脂 NHS-PEG-DSPE
发布时间:2023-06-28  作者:LYQ  分享到:
中文名称:
活性酯聚乙二醇二硬脂酰基磷脂酰乙醇胺 磷脂PEG活性酯
英文名称:DSPE-PEG2K-NHS NHS-PEG-DSPE
别称:活性酯聚乙二醇磷脂
端基取代率:≥95%
状态:固体或粘稠液体,取决于分子量大小
保存时间 1年
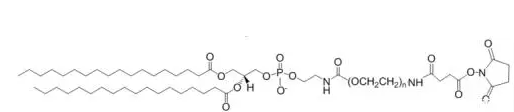
结构式:

产品描述:
DSPE-PEG2K-NHS是一种表面活性剂,也被称为磷脂酰乙醇胺 - 聚乙二醇2K - N-羟基琥珀酰亚胺(DSPE-PEG2000-NHS)。它是一种化学分子,由磷脂酰乙醇胺(DSPE)、聚乙二醇(PEG)和N-羟基琥珀酰亚胺(NHS)组合而成。
生产地:西安
相关产品:
甲氧基聚乙二醇壳聚糖二乙基三胺五乙酸
MPEG2000-Chitosan5000-DTPA
二乙基三胺五乙酸壳聚糖甲氧基聚乙二醇
MPEG-Chitosan-DTPA
二乙基三胺五乙酸-壳聚糖-甲氧基聚乙二醇
DTPA-Chitosan-MPEG
DTPA-Chitosan5000-MPEG2000
供应商:西安齐岳生物科技有限公司
温馨提示:本公司提供的产品仅供科研使用!




齐岳微信公众号
官方微信
库存查询