Maleimide-PEG-DSPE 磷脂PEG马来酰亚胺 Maleimide-PEG3400-DSPE
发布时间:2023-06-28  作者:LYQ  分享到:
中文名称:
马来酰亚胺聚乙二醇磷脂 马来酰亚胺PEG磷脂
英文名称:Maleimide-PEG-DSPE Maleimide-PEG3400-DSPE
别称:磷脂PEG马来酰亚胺
注意事项:在干燥的环境中取用,避免频繁的溶解和冻干
溶解性:溶于大部分有机溶剂,溶于水
取用:现配现用
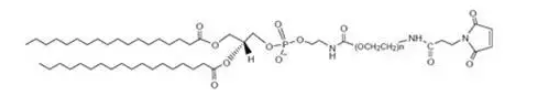
结构式:

产品描述:
Maleimide-PEG-DSPE 是一种功能化的表面活性剂,由马来酰亚胺(Maleimide)、聚乙二醇(PEG)和磷脂酰乙醇胺(DSPE)组成。马来酰亚胺(Maleimide)是一种含有双键的化合物,具有较高的反应活性。
生产地:西安
相关产品:
Ada-PEG3400-NHS
活性酯-聚乙二醇-金刚烷
PLL(20)-g[3.5]-PEG(2)-RGD
聚赖氨酸-聚乙二醇-多肽
PLL-g-PEG-RGD
聚乙二醇聚赖氨酸多肽
PLL-PEG-RGD
聚赖氨酸PEG多肽
RGD-PEG-PLL
供应商:西安齐岳生物科技有限公司
温馨提示:本公司提供的产品仅供科研使用!




齐岳微信公众号
官方微信
库存查询