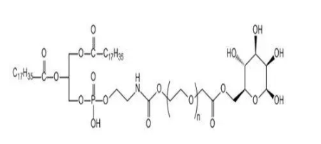
磷脂PEG甘露糖 DSPE-PEG-Mannose,MW:3400 磷脂聚乙二醇甘露糖
发布时间:2023-07-03     作者:zyl   分享到:
中文名称 磷脂聚乙二醇甘露糖 甘露糖聚乙二醇磷脂
简称 DSPE-PEG-Mannose Mannose-PEG-DSPE
分子量 1000、2000、3400、5000、10000
溶解度溶于 部分有机溶剂
存储条件 -20°冷冻保存,惰性气体保护
保存时间 一年

西安齐岳生物科技有限公司是一家集研发,生产,销售为一体的高科技企业,可提供合成磷脂、高分子聚乙二醇衍生物、嵌段共聚物、顺磁/超顺磁性纳米颗粒、纳米金及纳米金棒、近红外荧光染料、活性荧光染料、的葡聚糖BSA和链霉亲和素、蛋白交联剂、小分子PEG衍生物、点计化学产品、树枝状聚合物、环糊精衍生物、大环配体类、荧光量子点、透明质酸衍生物、石墨烯或氧化石墨烯、碳纳米管、富勒烯等等,可以满足不同客户的定制需求。
相关产品:
磷脂聚乙二醇甘露糖
Cyanine5.5-PEG-DSPE
二苯并环辛炔-聚乙二醇-磷脂
FA-PEG-DSPE
Cyanine3-PEG-amine,MW:3400/5000
Sulfo Cyanine3 amine
DSPE-PEG-Maleimide,MW:2K
巯基偶联多肽
磷脂-聚乙二醇-反式环辛烯
磷脂-聚乙二醇-四嗪
磷脂-双硒键-聚乙二醇
磷脂-聚乙二醇-四嗪-荧光素
DSPE-PEG-Cyanine5.5
甲氧基聚乙二醇溴化物




齐岳微信公众号
官方微信
库存查询