MPEG-b-PALA 甲氧基聚乙二醇-聚硫辛酸共聚物 mpeg-b-pala
发布时间:2023-07-03     作者:LYQ   分享到:
产品描述:
MPEG-b-PALA是一种由甲基聚乙二醇(MPEG)和聚α-氨基酸乳酸酰亚胺(PALA)组成的嵌段共聚物。它在药物输送领域具有潜力,通过结构调控和功能化,可实现药物的稳定包封和控制释放,同时具有良好的生物相容性和生物降解性能。
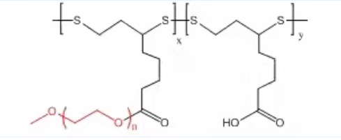
结构式:

中文名称:
甲氧基聚乙二醇-聚-α-酰基-L-赖氨酸
英文名称:
别称:MPEG-b-PALA 甲氧基聚乙二醇-聚硫辛酸共聚物 mpeg-b-pala
保存时间 1年
端基取代率:≥95%
状态:固体或粘稠液体,取决于分子量大小
相关产品:
巯基PEG罗丹明B
Thiol-PEG-Rhodamine B
罗丹明B聚乙二醇巯基
Rhodamine B-PEG-HS
罗丹明B-PEG巯基
mPEG2000-SS-PCL5000
聚乙二醇-二硫键-聚已内酯
生产地:西安
供应商:西安齐岳生物科技有限公司
温馨提示:本公司提供的产品仅供科研使用!




齐岳微信公众号
官方微信
库存查询