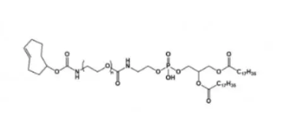
DSPE-PEG-TCO,MW:2000 磷脂-聚乙二醇-反式环辛烯
发布时间:2023-07-03     作者:zyl   分享到:
产品名称:
DSPE-PEG1K-TCO 磷脂-聚乙二醇-反式环辛烯
英文名称:DSPE-PEG-TCO
中文名称:磷脂聚乙二醇修饰反式环辛烯
别名:TCO-PEG-DSPE
分子量:1k,2k,3.4k,5k,10k,20k(可按需定制)
质量控制:95%+
原料分散系数PDI:≤1.05
存储条件:-20°C,避光,避湿
用 途:仅供科研实验使用,不用于诊治
外观: 固体或粘性液体,取决于分子量
注意事项:取用一定要干燥,避免频繁的溶解和冻干
溶解性:溶于大部分有机溶剂,如:DCM、DMF、DMSO、THF等等。在水中有很好的溶解性

TCO-PEG-DSPE,反式环辛烯(TCO)作为亲双烯体与S-四嗪(Tetrazine)在生理条件下的反应有无需催化剂、反应速率快的优点,被广泛应用于生物和的研究中。
相关产品:
cas:82436-77-9
5-羧基荧光素
磷脂聚乙二醇甘露糖
Cyanine5.5-PEG-DSPE
二苯并环辛炔-聚乙二醇-磷脂
FA-PEG-DSPE
Cyanine3-PEG-amine,MW:3400/5000
Sulfo Cyanine3 amine
DSPE-PEG-Maleimide,MW:2K
巯基偶联多肽
磷脂-聚乙二醇-反式环辛烯
磷脂-聚乙二醇-四嗪
磷脂-双硒键-聚乙二醇
磷脂-聚乙二醇-四嗪-荧光素
DSPE-PEG-Cyanine5.5




齐岳微信公众号
官方微信
库存查询