DSPG CAS: 200880-42-8 二硬脂酰磷脂酰甘油钠盐
发布时间:2023-07-10     作者:zyl   分享到:
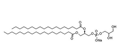
中文品名:二硬脂酰磷脂酰甘油钠盐
英文品名:1,2-distearoyl-sn-glycero-3-phospho-(1'-rac-glycerol) (sodium salt)
英文简称: DSPG
产品信息
CAS Number: 200880-42-8
分子量: 801.058
分子式:C42H82O10PNa
外观: 类白色至白色固体
纯度:98%min
存储条件
-20°C,密封避光保存
本产品仅用于研究和制造用途,不能用于人类或诊断用途。

西安齐岳生物科技有限公司是集化学科研和定制与一体的高科技化学公司。业务范围包括化学试剂和产品的研发、生产、销售等。涉及产品为通用试剂的分销、非通用试剂的定制与研发,涵盖生物科技、精细化学品、中间体和化工材料等领域。与多家品牌深度合作,渠道广阔,主营产品:原料药,天然产物,COF、MOF单体系列:三蝶烯衍生物、金刚烷衍生物、四苯甲烷衍生物、peg、上转换、石墨烯、光电材料、点击化学、凝集素、载玻片、蛋白质交联剂、脂质体、蛋白、多肽、氨基酸、糖化学等。
相关产品:
PLGA-SH
二硬脂酰基磷脂酰乙醇胺-聚乙二醇2000
聚乳酸-羟基乙酸共聚物
PLGA-PEG-Mannose,MW:2K
PLGA-PEG-Mannose,MW:5K
磷脂-聚乙二醇-rvg29肽
磷脂-聚乙二醇-羧基
CAS:1603861-95-5
磷脂-聚乙二醇-多肽
二聚乳酸-羟基乙酸共聚物聚乙二醇
二棕榈酰磷脂酰胆碱
二棕榈酰基磷脂酰乙醇胺
二棕榈酰磷脂酰甘油
胆甾醇
DSPE-PEG-Biotin
叠氮磷酸二苯酯
DSPE-PEG2000-CY5.5
新吲哚菁绿琥珀酰亚胺酯
荧光素标记重组人源化III型胶原蛋白




齐岳微信公众号
官方微信
库存查询