新吲哚菁绿修饰活化酯 IR820 NHS ester 新吲哚菁绿琥珀酰亚胺酯
发布时间:2023-07-10     作者:zyl   分享到:
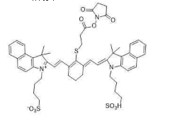
中文名:新吲哚菁绿-琥珀酰亚胺酯
英文名:IR820 NHS ester
外观:绿色粉末
分子量:66K
溶解性:溶于DMSO或DMF
纯度:95%
保存:-20℃避光
西安齐岳生物科技有限公司是集化学科研和定制与一体的高科技化学公司。业务范围包括化学试剂和产品的研发、生产、销售等。涉及产品为通用试剂的分销、非通用试剂的定制与研发,涵盖生物科技、精细化学品、中间体和化工材料等领域。与多家品牌深度合作,渠道广阔,主营产品:原料药,天然产物,COF、MOF单体系列:三蝶烯衍生物、金刚烷衍生物、四苯甲烷衍生物、peg、上转换、石墨烯、光电材料、点击化学、凝集素、载玻片、蛋白质交联剂、脂质体、蛋白、多肽、氨基酸、糖化学等。
相关产品:
新吲哚菁绿琥珀酰亚胺酯
荧光素标记重组人源化III型胶原蛋白
NHS-PEG-Biotin
CAS:1445723-73-8
streptavidin下称SA
二硬脂酰基磷脂酰乙醇胺-聚乙二醇-叶酸
聚(丙交酯-乙交脂)-氨基
二棕榈酰磷脂酰胆碱
Rhodamine B-PEG-DSPE
磷脂-聚(2-乙基-2-噁唑啉)
二硬脂酰基磷脂酰乙醇胺-聚乙二醇-巯基
胆甾醇
CAS:4004-05-1
C14-PEG-生物素




齐岳微信公众号
官方微信
库存查询