DSPE-PEG-SH,MW:5000 磷脂聚乙二醇巯基 DSPE-PEG-Thiol
发布时间:2023-07-10     作者:zyl   分享到:
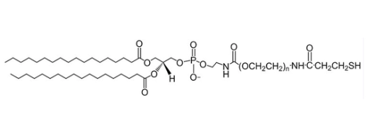
中文名称 磷脂-聚乙二醇-巯基
英文名称 DSPE-PEG-Thiol,DSPE-PEG-SH
所属分类 DSPE PEG Thiol PEG
CAS编号 N/A
分子量 DSPE-PEG-Thiol/DSPE-PEG-Thiol/DSPE-PEG-Thiol/DSPE-PEG-Thiol/DSPE-PEG-Thiol/DSPE-PEG-Thiol,分子量可定制
质量控制 95%+
贮存方法 干燥,避光,-20℃

DSPE-PEG-SH是一种在另一个PEG末端具有巯基的活性磷脂PEG试剂。DSPE(1,2-二硬脂酰-sn-甘油-3-磷酸乙醇胺)是一种饱和的18C磷脂,常用于脂质体的合成。
聚乙二醇(PEG)偶联DSPE具有亲水性,可用于药物传递、基因转染和生物分子修饰,磷脂的聚乙二醇化**改善了胶囊药物的血液循环时间和稳定性。
相关产品:
cas:57-88-5
二油酰磷脂酰乙醇胺
DOPE-NBD,磷脂膜染料
二硬脂酰基磷脂酰胆碱
DC-胆固醇
甲氧基聚乙二醇-聚己内酯
DSPE-PEG2k
甲氧基聚乙二醇-聚己内酯
二硬脂酰基磷脂酰乙醇胺 -聚乙二醇-多肽
磷脂-聚乙二醇-活性酯
二硬脂酰基磷脂酰乙醇胺-聚乙二醇-羧基
DSPE-PEG2k
磷脂-聚乙二醇-花青素Cy5
DSPE-PEG2k




齐岳微信公众号
官方微信
库存查询