PDP-PEG-DSPE 巯基吡啶聚乙二醇磷脂 DSPE-PEG2K-PDP
发布时间:2023-07-10     作者:LYQ   分享到:
中文名称:
磷脂-聚乙二醇-巯基吡啶 巯基吡啶PEG磷脂
英文名称:PDP-PEG-DSPE DSPE-PEG2K-PDP
别称:巯基吡啶聚乙二醇磷脂
保存时间 1年
端基取代率:≥95%
存储条件:-20°C,避光,避湿
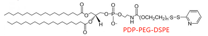
结构式:

产品描述:
PDP-PEG-DSPE是一种化合物,由含有二硫苯并二氮唑(PDP)官能团的聚乙二醇(PEG)与含有磷脂组分的二烯丙基磷脂醇(DSPE)结合而成。它常用于功能化纳米颗粒表面。
生产地:西安
供应商:西安齐岳生物科技有限公司
用途:用于科学研究,纳米技术和新材料研究等。
温馨提示:本公司提供的产品仅供科研使用!
相关产品:
偶氮苯-peg5k-SH
二苯并环辛炔聚乙二醇叶酸
DBCO-PEG1K-Folate
二苯并环辛炔聚乙二醇叶酸
DBCO-PEG1000-FA
二苯并环辛炔PEG叶酸
FA-PEG-DBCO
叶酸聚乙二醇二苯基环辛炔
DBCO-PEG-FA
NHS-PEG3400-MAL




齐岳微信公众号
官方微信
库存查询