DBCO-PEG-DSPE 二苯并环辛炔聚乙二醇磷脂 DBCO-PEG2000-DSPE
发布时间:2023-07-13     作者:LYQ   分享到:
产品描述:
DBCO-PEG-DSPE的主要功能是作为脂质体修饰剂,将二苯并环辛二炔(DBCO)引入到脂质体表面。DBCO是一种与炔基反应的官能团,可以与含有炔基化合物形成稳定的共价结合。PEG是一种生物相容性聚合物,具有良好的水溶性和稳定性。DSPE是一种磷脂醇,可以用来构建脂质体结构。
中文名称:
磷脂PEG二苯并环辛炔 二苯并环辛炔PEG磷脂
英文名称:DBCO-PEG-DSPE DBCO-PEG2000-DSPE
别称:二苯并环辛炔聚乙二醇磷脂
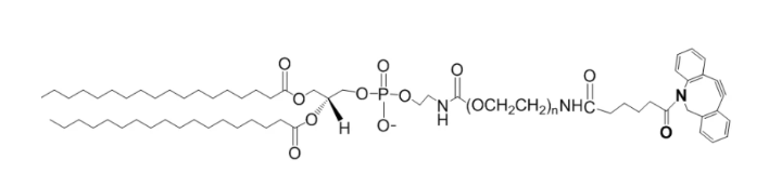
结构式:

状态:固体或粘稠液体,取决于分子量大小
保存时间 1年
端基取代率:≥95%
生产地:西安
温馨提示:仅用于科研,不能用于人体!
供应商:西安齐岳生物科技有限公司
相关产品:
DSPE-PEG2K-Biotin
二硬脂酰基磷脂酰乙醇胺-聚乙二醇-生物素
CAS:385437-57-0
磷脂PEG生物素
DSPE-PEG2000-Biotin
生物素-聚乙二醇-磷脂
DSPE-PEG-Biotin
生物素-PEG-磷脂
Biotin-PEG-DSPE




齐岳微信公众号
官方微信
库存查询