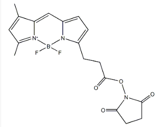
cas:146616-66-2,BDP FL NHS ester,3-氟硼吡咯-琥珀酰亚胺酯
发布时间:2023-07-20     作者:axc   分享到:
CAS:165599-63-3,BDP FL染料,3-Bodipy-propanoic Acid
中文名称:3-氟硼吡咯-NHS酯
英文名称:BDP FL NHS ester
中文同义词:BDPFLNHS酯
3-氟硼吡咯-NHS酯
3-氟硼吡咯-琥珀酰亚胺酯
4,4-二氟-5,7-二甲基-4-硼杂-3A,4A-二氮杂-S-引达省-3-丙酸N-琥珀酰亚胺酯
BDPFL活性酯
分子式:C18H18BF2N3O4
分子量:389.17
cas:146616-66-2
结构式:
熔点:160.0~164.0°C
储存条件:Storeat-20°C
溶解度:SolubleinDMSO,DMF,DCM
形态:粉末tocrystal
颜色:LightyellowtoYellowtoOrange
推荐产品:
COF-V共价有机骨架
DAPC
cas:61596-53-0
二花生酰基磷脂酰胆碱
DDAB
cas:2390-68-3
双十烷基二甲基溴化铵
Didecyldimethylammonium bromide
用途:科研
状态:固体/粉末/溶液
产地:西安
保存:冷藏
温馨提醒:仅供科研,不能用于人体实验AXC.2023.07.20




齐岳微信公众号
官方微信
库存查询