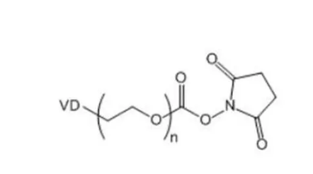
Vitamin D-PEG-NHS ester,MW:2000 维生素D-聚乙二醇-活性酯
发布时间:2023-07-20     作者:zyl   分享到:
中文名称:维生素D聚乙二醇活性酯
英文名称:Vitamin D-PEG-NHS ester
规格标准:1g,5g,10g
分子量:1K,2K,3.4K,5K,10K,20K(可按需定制)
原料分散系数PDI:≤1.05
存储条件:-20°C,避光,避湿
用 途:仅供科研实验使用,不用于诊治
外观: 固体或粘性液体,取决于分子量
注意事项:取用一定要干燥,避免频繁的溶解和冻干
溶解性:溶于大部分有机溶剂,如:DCM、DMF、DMSO、THF等等。在水中有很好的溶解性

Vitamin D-PEG-NHS ester属于维生素D PEG衍生物,具有各种官能团的线性和多臂PEG连接体,如mPEG-Mal、Mal-PEG-NH2、DSPE-PEG-Mal、FITC-PEG-Mal、4-arm-PEG-Mal等。亲水性间隔臂为标记分子在水介质中提供更好的溶解性。
相关产品:
Hydroxyl-mPEG
磷脂-聚乙二醇-偶氮苯
NH2-PEG-cRGD,MW:2K
PEI-PEG-FA
氟化硼二吡咯类荧光染料
Soybean Lecithin
DSPE-PEG-Biotin
花菁素染料标记胆固醇
Sulfo-Cyanine5-amine
Daunorubicin HCl
PLGA-PEG-NH2
磷脂聚乙二醇甘露糖
PLGA-mPEG
PLGA-TK-mPEG
PLGA-PEG-DBCO
Vitamin D-PEG-NHS ester,MW:2K




齐岳微信公众号
官方微信
库存查询