8-Arm PEG-NH2 八臂-聚乙二醇-氨基 8-Arm PEG-amine
发布时间:2023-07-25  作者:zyl  分享到:
英文名称:8-Arm PEG-Amine
8-Arm PEG-NH2
中文名称:八臂-聚乙二醇-氨基
分子量:1k,2k,3.4k,5k,10k,20k(可按需定制)
质量控制:95%+
存储条件:-20°C,避光,避湿
用 途:仅供科研实验使用,不用于诊治
外 观:粘稠液体或者固体粉末,取决于分子量
注意事项:取用一定要干燥,避免频繁的溶解和冻干
溶解性:溶于大部分有机溶剂,如:DCM、DMF、DMSO、THF等等。在水中有很好的

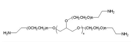
描述:
八臂PEG胺是一种多臂PEG衍生物,八臂的每个末端都有胺基连接到一个六甘油核心。反应性伯胺或NH2基团可与活化羧酸(如NHS酯)快速反应,形成稳定的酰胺键。
相关产品:
8-Arm PEG-amine
DSPE-PEG-Maleimide,MW:2K
PLGA-PEG-MAL
DBCO-Cyanine5
Heparin sodium
CAS:170908-81-3
PLGA-PEG-DBCO
二肉豆蔻酰磷脂酰胆碱
CAS:4004-05-1
L-Lactic Acid-biotin
聚缩醛-聚乙二醇
聚苯乙烯-b-聚氧乙烯
氨基聚乙二醇磷脂
二棕榈酰磷脂酰胆碱
CY5-SE




齐岳微信公众号
官方微信
库存查询