Mannose-PEG-DSPE 甘露糖聚乙二醇磷脂 Mannose-PEG2K-DSPE
发布时间:2023-07-26  作者:LYQ  分享到:
产品描述:
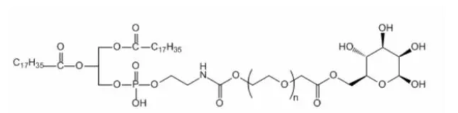
Mannose-PEG-DSPE是一种功能性化合物,结构中含有甘露糖(Mannose)、聚乙二醇(PEG)和二十二碳烷酸(DSPE)。这种化合物常用于制备靶向药物传递系统或修饰纳米颗粒表面,特别是针对甘露糖受体表达的细胞或组织。甘露糖是一种存在于生物体内的糖分子,它能够与特定的甘露糖受体结合。Mannose-PEG-DSPE通过共价连接的方式,在纳米颗粒表面引入甘露糖残基,使其具备与甘露糖受体的亲和性。
中文名:
磷脂PEG甘露糖 甘露糖PEG磷脂
英文名:Mannose-PEG-DSPE Mannose-PEG2K-DSPE
别名:甘露糖聚乙二醇磷脂
状态:固体或粘稠液体,取决于分子量大小
保存时间 1年
端基取代率:≥95%
结构式:

包装:瓶装
产地:西安
供应商:西安齐岳生物科技有限公司
温馨提示:本产品仅可用于科研实验
西安齐岳生物科技有限公司是国内的高分子聚合物合成厂家,我公司可以提供各种不同的聚合物的嵌段共聚,有均聚物,嵌段共聚物,星形聚合物等。
相关产品:
磷脂-双硒键-聚乙二醇-活性酯
NHS-PEG-SeSe-DSPE
活性酯聚乙二醇双硒键磷脂
mPEG2000-b-PLGA5000,50/50
聚乳酸羟基乙酸共聚物
mPEG-b-PLGA
聚(乳酸-羟基乙酸)-聚(乙二醇)甲基醚
PLGA-PEG




齐岳微信公众号
官方微信
库存查询