Mannose-PEG2K-DSPE Mannose-PEG-DSPE 甘露糖聚乙二醇磷脂
发布时间:2023-07-26     作者:LYQ   分享到:
产品描述:
Mannose-PEG-DSPE是一种具有甘露糖、聚乙二醇和二十二碳烷酸的功能性化合物。它常用于制备针对甘露糖受体的靶向药物传递系统或修饰纳米颗粒表面。该化合物能够提供细胞识别和靶向**,为生物医学领域的应用带来潜力。
中文名:
磷脂PEG甘露糖 甘露糖PEG磷脂
英文名:Mannose-PEG-DSPE Mannose-PEG2K-DSPE
别名:甘露糖聚乙二醇磷脂
状态:固体或粘稠液体,取决于分子量大小
保存时间 1年
端基取代率:≥95%
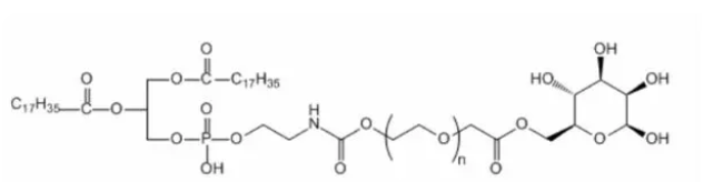
结构式:

包装:瓶装
产地:西安
供应商:西安齐岳生物科技有限公司
温馨提示:本产品仅可用于科研实验
西安齐岳生物科技有限公司是国内的高分子聚合物合成厂家,我公司可以提供各种不同的聚合物的嵌段共聚,有均聚物,嵌段共聚物,星形聚合物等。
相关产品:
DMG-PEG-Man
甘露糖PEG二肉豆蔻酰-sn-甘油
DMG-PEG5000-Man
二肉豆蔻酰-sn-甘油PEG甘露糖
DSPE-PEG2K-HA35K
磷脂聚乙二醇透明质酸
DSPE-PEG-HA




齐岳微信公众号
官方微信
库存查询