DSPE-PEG5000 DSPE-PEG5K 磷脂-聚乙二醇
发布时间:2023-08-21  作者:LYQ  分享到:
产品名:
DSPE-PEG5000 二硬脂酰磷脂酰乙酰胺-聚乙二醇
中文名:磷脂-聚乙二醇
英文名:DSPE-PEG5K
产品介绍:
DSPE-PEG5000 是一种由DSPE 和高分子量PEG组成的化合物。这种化合物通常用于制备纳米药物载体,以增加药物的稳定性、改善水溶性,并延长药物在循环时间,从而提高疗效和安全性。
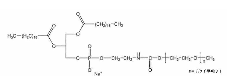
结构式:

PDI:1.05max
含量:95%+
分子量:1K,2K,3.4K,3.5K,4K,5K,10K,20K,40K等(接受定制)
储存条件:-25±5ºC下惰性气体封存,尽量避免反复解冻
包装:瓶装
产地:西安
供应商:西安齐岳生物科技有限公司
温馨提示:本产品仅可用于科研实验
相关产品:
磷脂二硫键聚乙二醇荧光染料
DSPE-SS(二硫键)-PEG-FITC
荧光染料聚乙二醇双硫键磷脂
FITC-PEG-SS-DSPE
磷脂二硫键聚乙二醇异硫氰基荧光素
DOPE-PEG2000-NH2
磷脂聚乙二醇氨基




齐岳微信公众号
官方微信
库存查询