DSPE-PEG2K-TCO 磷脂PEG反式环辛烯 DSPE-PEG-TCO
发布时间:2023-08-21  作者:LYQ  分享到:
产品名:
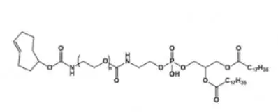
DSPE-PEG2000-TCO 磷脂聚乙二醇反式环辛烯
中文名:磷脂PEG反式环辛烯
英文名:DSPE-PEG2K-TCO DSPE-PEG-TCO
产品介绍:
DSPE-PEG2000-TCO 是一种由DSPE、PEG2000 和TCO部分组成的复合物。这种化合物通常用于制备药物载体或纳米颗粒,以改善药物的稳定性、水溶性,或用于与其他分子进行点击化学反应,实现特定应用,如药物传递或生物标记。
结构式:

PDI:1.05max
含量:95%+
分子量:1K,2K,3.4K,3.5K,4K,5K,10K,20K,40K等(接受定制)
储存条件:-25±5ºC下惰性气体封存,尽量避免反复解冻
包装:瓶装
产地:西安
供应商:西安齐岳生物科技有限公司
温馨提示:本产品仅可用于科研实验
相关产品:
氨基聚乙二醇磷脂DOPE
PCL5000-PEG2000-SH
聚己内酯-聚乙二醇-巯基
PCL-PEG-SH
聚己内酯聚乙二醇巯基
PCL-PEG-Thiol
聚己内酯PEG巯基
SH-PEG-PCL




齐岳微信公众号
官方微信
库存查询