Heparin-PEG-PBA 苯硼酸PEG肝素 PBA-PEG-Heparin
发布时间:2023-09-01     作者:LYQ   分享到:
产品名:
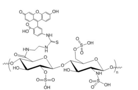
肝素PEG苯硼酸 苯硼酸聚乙二醇肝素
中文名:苯硼酸PEG肝素
英文名:Heparin-PEG-PBA PBA-PEG-Heparin
外观:粘性液体或固体粉末,取决于分子量
分子量(PEG):根据客户需求定制
注意事项:在干燥的环境中取用,避免频繁的溶解和冻干
溶解性:溶于大部分有机溶剂,溶于水
取用:现配现用
结构式:

产品介绍:
肝素是由D-葡糖胺、L-艾杜糖醛酸及β-D-葡糖醛酸交替连接而成的黏多糖硫酸酯,相对分子质量在1 200 ~ 40 000 之间,广泛存在于动物体内,主要从牛肺和猪小肠黏膜中提取。
包装:瓶装
产地:西安
供应商:西安齐岳生物科技有限公司
温馨提示:本产品仅可用于科研实验
相关产品:
mPEG10k-PLGA5k,50/50
NH2-PEG-PLGA2k
DOTA-PEG2000-OH
DSPE-TK-PEG2000-COOH
mPEG5000-PLA2000
DSPE-PEG2000-NHS-amifostine
mPEG2K-PLGVRGC-DSPE




齐岳微信公众号
官方微信
库存查询