NBD-PEG-DSPE 硝基苯恶二唑聚乙二醇磷脂 NBD-PEG3400-DSPE
发布时间:2023-09-12  作者:LYQ  分享到:
产品名:
磷脂-聚乙二醇-硝基苯恶二唑 硝基苯恶二唑PEG磷脂
中文名:硝基苯恶二唑聚乙二醇磷脂
英文名:NBD-PEG-DSPE NBD-PEG3400-DSPE
产品介绍:
状态:由于PEG分子量的不同,呈现的产品状态多为液体或粘稠状固体
分子量: 350、550、750、1000、2000、3400、5000、10000
溶解性:
溶于大部分有机溶剂,如:DCM、DMF、DMSO、THF等等。在水中有很好的溶解性
描述:
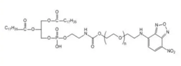
1,2-二硬脂酰-sn-甘油-3-磷酸乙醇胺(DSPE)和NBD(硝基苯并呋喃赞)偶联的聚乙二醇,磷脂具有疏水性和亲水性,DSPE-PEG-NBD是一种水溶性荧光磷脂-PEG偶联物,可作为脂质膜探针。NBD的激发/发射波长为460nm/534nm。
结构式:

包装:瓶装
产地:西安
供应商:西安齐岳生物科技有限公司
温馨提示:本产品仅可用于科研实验
相关产品:
DBCO-PEG2000-Cy3
DBCO-PEG1K-FA
SH-PEG2000-NHS
SH-PEG2000-葡萄糖氧化酶
SH-PEG2000-HA(10w-20w)
SH-PEG2000-FITC
TRITC-dextran,MW:70000
FITC-Biotin
mPEG2000-Cholesterol




齐岳微信公众号
官方微信
库存查询