Tributyl(dodecyl)phosphonium bromide 三丁基(十二烷基)溴化鏻 15294-63-0
发布时间:2023-10-31     作者:LYQ   分享到:
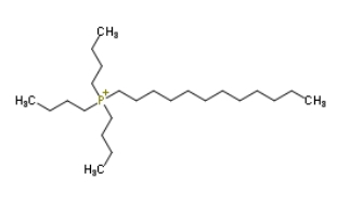
产品名称 : Tributyl(dodecyl)phosphonium bromide
中文名称 : 三丁基(十二烷基)溴化鏻
CAS号 : 15294-63-0
分子式 : C24H52BrP
分子量 : 451.55
包装:瓶装
供应商:西安齐岳生物科技
提供十二烷基三丁基溴化膦CAS号15294-63-0,十二烷基三丁基溴化膦MSDS及其说明、性质、英文名、作用/用途、分子量、密度、沸点、熔点、结构式等

产地:西安
温馨提示:本产品仅用于科研实验
西安齐岳生物供应磷脂、荧光、氨基酸、纳米颗粒、离子液体、MXene材料等供科研使用的各种产品,还可提供定制服务,欢迎咨询。
产品推荐:
4-Amino-1-methyl-4H-1,2,4-triazol-1-ium iodide
Tetraethylammonium bromide
71-91-0
四乙基溴化铵
429-07-2
四乙基六氟磷酸铵
Tetraethylammonium hydrogensulfate
16873-13-5




齐岳微信公众号
官方微信
库存查询