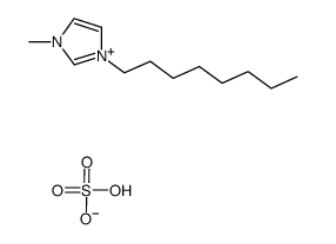
3-甲基-1-辛基-1H-咪唑-3-鎓 硫酸盐 497258-85-2
发布时间:2023-10-31     作者:LYQ   分享到:
产品名称 : 3-Methyl-1-octyl-1H-imidazol-3-ium sulfate
中文名称 : 3-甲基-1-辛基-1H-咪唑-3-鎓 硫酸盐(请以英文为准,中文仅做参考)
CAS号 : 497258-85-2
分子式 : C24H46N4O4S
分子量 : 486.71
MDL NO : MFCD19442808
包装:瓶装
供应商:西安齐岳生物科技
产地:西安
温馨提示:本产品仅用于科研实验

提供1-辛基-3-甲基咪唑硫酸氢盐CAS号497258-85-2,1-辛基-3-甲基咪唑硫酸氢盐MSDS及其说明、性质、英文名、作用/用途、分子量、密度、沸点、熔点、结构式等。
西安齐岳生物供应磷脂、荧光、氨基酸、纳米颗粒、离子液体、MXene材料等供科研使用的各种产品,还可提供定制服务,欢迎咨询。
产品推荐:
离子液体[C4MIm]Cl
离子液体(RTIL)六氟磷酸正丁基吡啶(BPPF6)
六氟磷酸离子液体
1-丁基-3-甲基咪唑四氟硼酸离子液体
[Bmim]BF4
溴代十八烷基甲基咪唑
[C18MIM]Br
[BMIm]Cl
1,3-二甲基-1H-咪唑-3-鎓甲基硫酸盐




齐岳微信公众号
官方微信
库存查询