170908-81-3,DOTA单-N-羟基琥珀酰亚胺酯
发布时间:2023-11-14     作者:瑞禧+RL   分享到:
170908-81-3,DOTA单-N-羟基琥珀酰亚胺酯
DOTA(1,4,7,10-tetraazacyclododecane-1,4,7,10-tetraacetic acid)本身是一种强螯合剂,具有对金属离子(尤其是金属如铒、铈、铟等)的高亲和力。通过引入NHS酯官能团,DOTA-NHS能够与氨基基团形成酰胺键,从而方便地与含有氨基的分子反应,例如蛋白质、多肽或其他生物分子。
产品名称:170908-81-3,DOTA单-N-羟基琥珀酰亚胺酯
中文名:DOTA-NHS ester
轮环藤宁四乙酸
DOTA单-N-羟基琥珀酰亚胺酯
1,4,7,10-四氮杂环十二烷-1,4,7,10-四乙酸 1-(2,5-二氧代-1-吡咯烷基)酯
英文名称:DOTA-NHS ester
分子量:501.5
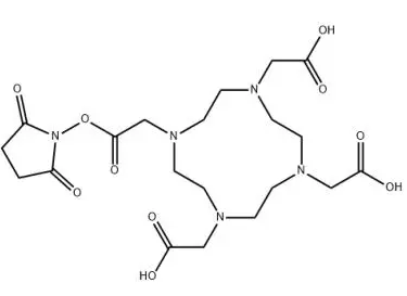
结构式:

规格:mg
纯度:95%+
溶解性:溶于部分有机溶剂
储存:/
用途:科研
品牌:西安齐岳生物科技有限公司
相关产品:
GA-DOTA-SH
Gd-Dtpa-BSA
DTPA-Zn
DOTA-tbu
DOTA-Yb
DOTA-Er
Gd-DOTA-Mal
81668-57-9
DOTA-Gd-DBCO
NOTA-GA anhydride
DOTA-CY5.5
DOTA-cy7
Tz-PEG-DOTA
Gd(III)DOTA-DSP
西安齐岳生物产品仅用于科研,不可用于人体,RL2023.11




齐岳微信公众号
官方微信
库存查询