基于咔唑和3,3'-二甲基二苯醚共聚物主链的红光TADF聚合物PCzDMPE-R03 ~ PCzDM PE-R10
红光热活化延迟荧光(TADF)聚合物PCzDMPE-R03~PCzDMPE-R10
PCzDMPE-R03
PCzDMPE-R07
PFDMPF-R05
PCzDMPE-R10
近期,在共轭高分子聚芴的基础上,我们通过3,3'-二甲基二苯醚来调控主链的共轭长度,
将三线态能级由2.16 eV提高到2.58 eV. 相应的红光TADF聚合物获得了5.62%的外量子效率和10.3 cd/A的电流效率,发射峰位于606 nm。
但是,这类芴和3,3'-二甲基二苯醚共聚物主体的高占有分子轨道(HOMO)能级为−6.03 eV,
与PEDOT:PSS修饰的ITO阳极之间存在着较大的空穴注入势垒,导致器件的启亮电压偏高.
因此,我们进一步选择具有更强给电子能力的咔唑来代替芴,
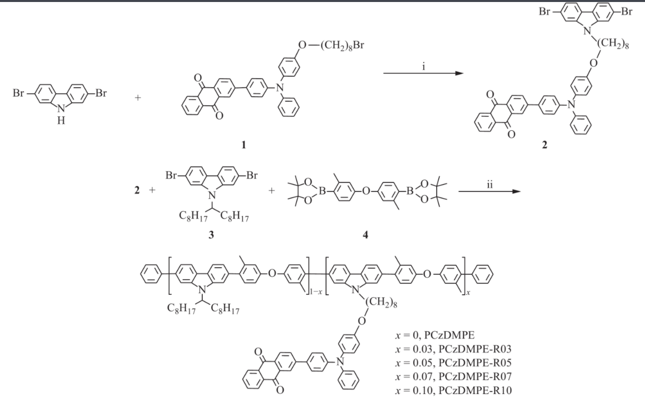
设计合成了基于咔唑和3,3'-二甲基二苯醚共聚物主链的红光TADF聚合物PCzDMPE-R03 ~ PCzDM PE-R10 (示意图1).
其中,PCzDMPE-R07表现出较优的非掺杂器件性能,启亮电压从原来的9.8 V降低到5.2 V,较大电流效率和外量子效率分别为3.35 cd/A和2.03%. 优化后的掺杂器件,电流效率和外量子效率可以进一步提升到7.36 cd/A和3.77%.
基于咔唑和3,3'-二甲基二苯醚共聚物主链的红光TADF聚合物PCzDMPE-R03 ~ PCzDM PE-R10的结构式

西安齐岳生物科技有限公司提供金属配合物,热激活延迟荧光(TADF)材料,聚集诱导延迟荧光(AIDF)材料,聚集诱导发光AIE材料的定制合成
发射波长分别为546 和 544 nm 的黄绿光聚合物 R-P 与 S-P
TADF共轭高分子
TADF共轭高分子poly(AcBPCz-P)
TADF共轭高分子poly(AcBPCz-DMP)
TADF共轭高分子poly(AcBPCz-TMP)
主客体MOF(Tpl@NKU-111)
基于三(三唑)并三嗪单元的蓝光TADF材料TTT-Ph-Ac
基于DBNA骨架的TADF分子结构
m-AC-DBNA
p-AC-DBNA
m'-AC-DBNA
具有聚集诱导发射(AIE)特性的新型TADF分子SBF-BP-DMAC
手性TADF聚合物(R,R)-/(S,S)-pTpAcDPS
(R,R)-/(S,S)-pTpAcBP
温馨提示:仅用于科研
小编zhn2022.01.18




齐岳微信公众号
官方微信
库存查询