HS-PEG-CY7,巯基聚乙二醇-CY7,MW:2000,3400
发布时间:2023-11-15     作者:axc   分享到:
HS-PEG-CY7,巯基聚乙二醇-CY7,MW:2000,3400
产品名称 Cy7-PEG-SH
中文名称 Cy7-聚乙二醇-巯基
纯度:95%+
存储条件:-20°C,避光,避湿
外观:固体或液体,取决于分子量
外观颜色:根据分子量的不同,呈现固体或者黏稠液体
分子量:350、550、750、1k、2k、3.4k、5k、10K,20K(可按需定制)
存放条件:-20℃以下冰冻、干燥、避光。长期保存惰性气体(氩气或者氮气)保护
溶解标准:溶于二氯甲烷、极性有机溶剂(DMF、DMSO)、醇类、低水。
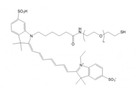
结构式:

提供各种产品的msds、结构式、性质、英文名、生产厂家、作用用途、分子式化学式、密度、沸点、焙点等:提供使用说明书、核磁图谱、合成路线;制备方案、合成步骤等技术信息.
西安齐岳生物科技有限公司提供种类众多的化学产品,包括peg衍生物,小分子Linker交联剂,卟啉酞菁类大环化合物和大环配体和中间体产品以及其他定制结构的有机化学合成产品,我们公司可以提供纳米载体制剂脂质体。
相关产品:
MAL-PEG-iRGD
COOH-PEG-cRGD
COOH-PEG-PTP
N3-PEG-PTP
FITC-PEG-FITC
温馨提醒:仅供科研,不能用于人体实验AXC.2023.11.15




齐岳微信公众号
官方微信
库存查询