cas:3006-58-4 N-Cbz-D-glucosamine的基本信息
发布时间:2023-11-16     作者:zyl   分享到:
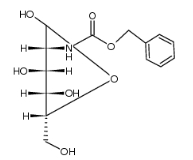
英文名 N-Cbz-D-glucosamine
CAS号 3006-58-4
分子量 313.30300
密度 N/A
沸点 N/A
分子式 C14H19NO7
熔点 N/A
闪点 N/A

西安齐岳生物科技有限公司经营的产品种类包括有:原料药、抑制剂、天然产物、COF、MOF单体系列:三蝶烯衍生物、金刚烷衍生物、四苯甲烷衍生物、多胺系列、多醛系列、联吡啶衍生物、卟啉衍生物、苯乙炔衍生物等;抑制剂&染料;原料药及中间体;OLED光电材料单体系列:共轭苯衍生物、咔唑、噻吩、苯并呋喃和苝/萘酐衍生物等;聚酰亚胺系列:聚酰亚胺、二胺和二酐;有机硅系列:单体、有还原剂、保护剂和偶联剂等;可光聚合液晶小分子等。
相关产品:
cas:3891-59-6
cas:13501-95-6
cas:33012-50-9
cas:33012-49-6
cas:22554-70-7
cas:572-09-8
cas:22860-22-6
cas:3947-62-4
cas:57884-82-9
cas:47339-09-3
cas:10343-06-3
cas:140147-37-1
cas:58645-20-8




齐岳微信公众号
官方微信
库存查询